개요
접근법
Trie라는 용어 자체는 생소할 수 있지만, 알게 모르게 실생활에서도 사용한 적이 있을만큼 매우 간단한 개념입니다. 예를 들어, 영어사전에서 apple 이라는 단어를 찾고 싶다면, 앞에서부터 a - p - p - l - e 순서로 prefix를 조합하면서 찾아갈 수 있습니다.
// 영어사전에서 apple를 찾고 싶다면...
앞에서 a를 찾는다. -> a
이어지는 p를 찾는다. -> ap
이어지는 p를 찾는다. -> app
이어지는 l를 찾는다. -> appl
이어지는 e를 찾는다. -> apple
위와 비슷하게 xx시 xx고등학교 xx학년 xx반에 소속된 학생정보를 찾고 싶다면, 앞에서부터 prefix를 조합하면서 차례대로 접근하면 됩니다.
step 1) xx시
step 2) xx시 xx고등학교
step 3) xx시 xx고등학교 xx학년
step 4) xx시 xx고등학교 xx학년 xx반
Trie는 이러한 개념을 구현한 자료구조의 일종이며 N중 트리를 재귀적으로 사용하여 쉽게 구현할 수 있습니다. 아래는 [CAT, CUTE, TO, B]가 저장된 트라이의 예시입니다.

목적
위에서는 이해를 위해 어떤 자료를 찾아가는 방법처럼 트라이를 설명했지만, 검색의 측면에서는 HashMap을 사용하는게 더 낫겠죠. 트라이는 공통된 접두사를 공유하는 요소를 찾는데 특화되어 있습니다.
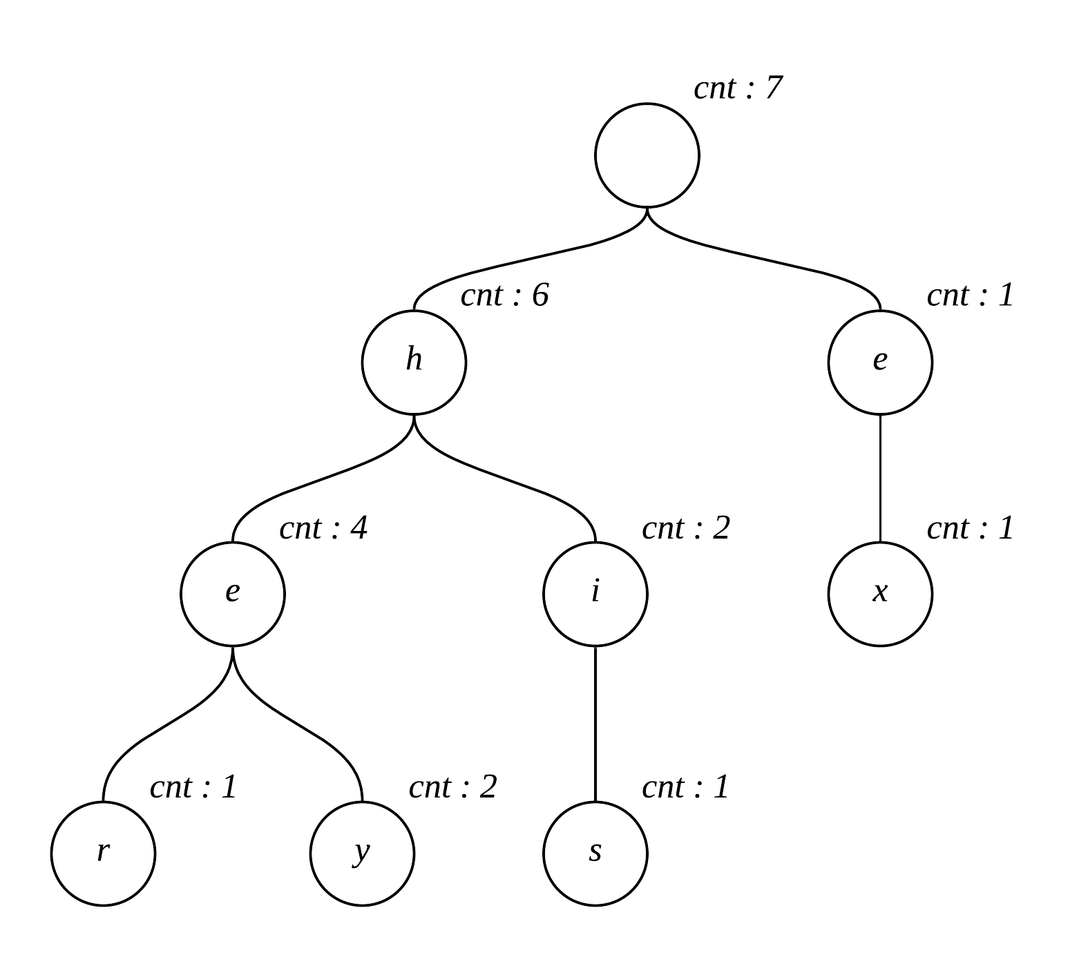
예를 들어, [hey, hey, hi, he, his, her, ex]에서 he로 시작하는 단어는 몇개일까요? Trie를 사용하지 않는다면, 각 요소마다 he로 시작하는지 체크해야 되므로 $O(n)$의 시간복잡도가 걸리겠지만, 아래처럼 Trie를 사용한다면 $O(string.length)$로 줄일 수 있습니다.

위의 특징으로 인해 Trie는 Prefix Tree라고 불리기도 합니다.
구현
개념적인 구현은 다음과 같습니다.
class TrieNode {
size : number;
data : Map<string, TrieNode>;
of(char: string) : TrieNode {
let childTrie = this.data.get(char);
if( childTrie === undefined ) {
childTrie = new TrieNode();
this.data.set(char, childTrie);
}
return childTrie;
}
insert(str: string) : void {
if(str.length === 0) return;
const first = str[0];
const others = str.slice(1);
const childTrie = this.of(first);
childTrie.size++;
childTrie.insert(others);
}
}
기본적인 사용방법은 다음과 같습니다.
const root = new TrieNode();
root.insert("hey");
root.insert("hell");
root.insert("happy");
//
// he로 시작하는 단어의 개수
root
.of("h")
.of("e")
.size;
응용
접두사 트리
일반적인 경우의 트라이입니다.
접미사 트리
문자열을 뒤집어서 삽입하면 공통된 접미사를 공유하는 요소를 찾을 수 있습니다. 예를 들어, [hey, eye, wey, hi]에서 ey로 끝나는 문자열을 찾으려면, 각 요소를 뒤집어서 만든 [yeh, eye, yew, ih]로 트라이를 구성하면 됩니다.
와일드카드가 허용된 트라이
Question Mark
?(물음표 문자)는 임의의 1개 글자에 대응되는 와일드카드 문자입니다. 예를 들어 h?는 h로 시작하는 2글자 단어를 의미하며 [hi, ha]와는 일치하지만 [hey, her]와는 일치하지 않습니다. 이러한 요구조건을 구현하기 위해, 2가지의 접근법이 사용될 수 있습니다.
- 자신의 모든 자식 트라이를 순회
const root = new TrieNode();
...
//
// h로 시작하는 2글자 단어의 개수
let answer = 0;
for(const childTrie of root.of("h").data) {
answer += childTrie.size;
}
?에 대응되는 자식 트라이를 생성하고, 중복저장.
class TrieNode {
...
insert(str: string, recursive = true) : void {
if(str.length === 0) return;
const first = str[0];
const others = str.slice(1);
//
// 자신의 자식 트라이에 한번 저장.
const childTrie = this.of(first);
childTrie.size++;
childTrie.insert(others);
//
// 자신의 퀘스쳔 마크 트라이에 두번 저장.
const questionMarkTrie = this.of("?");
questionMarkTrie.insert(str, false);
}
}
root
.of("h")
.of("?")
.size;
Asterisk
*(별 문자)는 임의의 0개 이상의 글자에 대응되는 와일드카드 입니다. 예를 들어 h*ix는 [hix, haix, halix]와 일치합니다. 이러한 요구조건을 구현하기 위해, 재귀를 사용할 수 있습니다.
예를 들어, hi*ok*ts이 주어졌을 때, 다음과 같이 재귀적으로 검색할 수 있습니다.
루트 노드에서 [hi]를 검색.
-> 매칭된 트라이의 모든 하위요소에 대해 [ok]를 검색.
-> 매칭된 트라이의 모든 하위요소에 대해 [ts]를 검색.
예를 들어 Hello*World가 ["HelloWorld", "Hello~~World"]를 찾는 과정은 다음과 같습니다.
- 루트 노드에서
Hello노드로 이동. Hello노드의 하위요소Hello,Hello~,Hello~~에 대해World를 검색.Hello노드에서 1건.Hello~노드에서 0건.Hello~~노드에서 1건.
- 따라서
Hello*World의 결과는 2건.
문자열이 아닌 트라이
접두사의 개념은 문자열에만 있는 것이 아닙니다. 예를 들어, 아래의 두 데이터는 세 번째 바이트 까지 공통된 접두사를 가지고 있습니다.
b[0] b[1] b[2] b[3]
10110000 01110101 11001100 00000000
10110000 01110101 11001100 11111111
코드로 표현하면 다음과 같습니다.
root
.of(176) // 10110000
.of(117) // 01110101
.of(204) // 11001100
.size;
동등조건이 아닌 트라이
각 접두사의 조건은 동등(Equal)만 있는 것이 아닙니다.
- 학생1 : 수학 90점, 영어 80점, 과학 70점
- 학생2 : 수학 80점, 영어 20점, 과학 91점
- 학생3 : 수학 80점, 영어 40점, 과학 50점
위와 같은 상황에서,
수학은 70점 이상, 과학은 70점 이하인 학생의 수?수학은 80점, 영어는 짝수, 과학은 홀수인 학생의 수?
연습문제
'# Foundation > 알고리즘' 카테고리의 다른 글
| [코딩테스트 대비] 순열(Permutation)과 조합(Combination) 알고리즘 (1) | 2020.09.15 |
|---|---|
| C++ Permutation 함수 (0) | 2019.10.20 |
| C++ Combination 함수 (0) | 2019.10.20 |
| 비트셋으로 집합 표현하기 (Bitset) (0) | 2019.10.20 |
| 그래프 이론 (1) (0) | 2019.07.23 |