개요
순열Permutation과 조합Combination은 코딩테스트에서 매우 빈번하게 사용되는 도구 중 하나입니다. 어떤 배열의 순열 또는 조합을 구하라!라는 직접적인 문제는 출제되지 않지만, 이것을 사용해야 문제가 풀리는 경우가 많으므로 순열과 조합 알고리즘 구현에 대해 정리하고자 합니다.
해당 포스팅에서는 TypeScript를 사용하여 구현했지만, 다른 언어에서도 충분히 구현할 수 있을만큼 상세하게 설명하겠습니다.
순열 (Permutation)
정의
길이가 $n$인 배열에서 $r$개의 요소를 차례대로 뽑아 새로운 배열을 만들었을 때, 가능한 모든 배열의 합입니다. 예를 들어 [1, 2, 3, 4]라는 배열에서 3개의 요소를 뽑아 새로운 배열을 만든다고 한다면, 아래와 같이 24개의 배열이 도출됩니다.
[ 1, 2, 3 ]
[ 1, 2, 4 ]
[ 1, 3, 2 ]
[ 1, 3, 4 ]
[ 1, 4, 2 ]
[ 1, 4, 3 ]
[ 2, 1, 3 ]
[ 2, 1, 4 ]
[ 2, 3, 1 ]
[ 2, 3, 4 ]
[ 2, 4, 1 ]
[ 2, 4, 3 ]
[ 3, 1, 2 ]
[ 3, 1, 4 ]
[ 3, 2, 1 ]
[ 3, 2, 4 ]
[ 3, 4, 1 ]
[ 3, 4, 2 ]
[ 4, 1, 2 ]
[ 4, 1, 3 ]
[ 4, 2, 1 ]
[ 4, 2, 3 ]
[ 4, 3, 1 ]
[ 4, 3, 2 ]
구현
간단한 방법
가장 간단한 방법은 for반복문을 $r$번 중첩하는 것 입니다. 이 때, 반복문에 의해 선택된 i, j, k가 모두 다른값을 가르키도록 강제해야 합니다.
const arr : number[] = [1, 2, 3, 4]
const ans : number[][] = []; // 순열이 저장될 배열
for(let i=0; i<arr.length; i++){
for(let j=0; j<arr.length; j++){
for(let k=0; k<arr.length; k++) {
// 중복 배제
if( i === j || j === k || k === i ) continue;
const current = [ arr[i], arr[j], arr[k] ];
ans.push(current);
}
}
}
i, j, k의 중복을 배제하는 또 다른 아이디어는, 다음과 같이 boolean[]을 사용하는 것 입니다.
const arr : number[] = [1, 2, 3, 4]
const ans : number[][] = []; // 순열이 저장될 배열
//
// isUsed[i] = i번째 요소를 사용중이라면 true.
const isUsed : boolean[] = [false, false, false, false];
for(let i=0; i<arr.length; i++){
if(isUsed[i] === true) continue;
isUsed[i] = true;
for(let j=0; j<arr.length; j++){
if(isUsed[j] === true) continue;
isUsed[j] = true;
for(let k=0; k<arr.length; k++) {
if(isUsed[k] === true) continue;
isUsed[k] = true;
const current = [ arr[i], arr[j], arr[k] ];
ans.push(current);
isUsed[k] = false;
}
isUsed[j] = false;
}
isUsed[i] = false;
}
물론 Set<number>을 사용해도 됩니다.
//
// isUsed.has(i) = i번째 요소를 사용중이라면 true.
const isUsed = new Set<number>();
재귀로 구현
for문을 사용한 구현은 간단하지만 $r$이 작은 경우에만 유효합니다. $r$이 커지면 커질수록 일일이 적어야 하는 코드의 량이 늘어나기 때문이죠. 이런 경우, 재귀함수를 사용하면 유연하게 대처할 수 있습니다.
function getPermutation(
arr : number[],
r : number,
tmp : number[] = [], // 순열 중 하나를 임시로 저장할 배열
ans : number[][] = [], // 순열이 저장될 배열
isUsed : Set<number> = new Set<number>(),
) {
// 순열 중 하나가 완성된 경우.
if( tmp.length === r ) {
ans.push(tmp);
return ans;
}
// 사용되지 않은 요소 중 하나를 사용한다.
for(let i=0; i<arr.length; i++) {
if(isUsed.has(i)) continue;
isUsed.add(i);
tmp.push(arr[i]);
getPermutation(arr, r, tmp, ans, isUsed);
tmp.pop();
isUsed.delete(i);
}
return ans;
}
//
// [1, 2, 3, 4] 에서 3개를 선택.
const permutation = getPermutation([1, 2, 3, 4], 3);
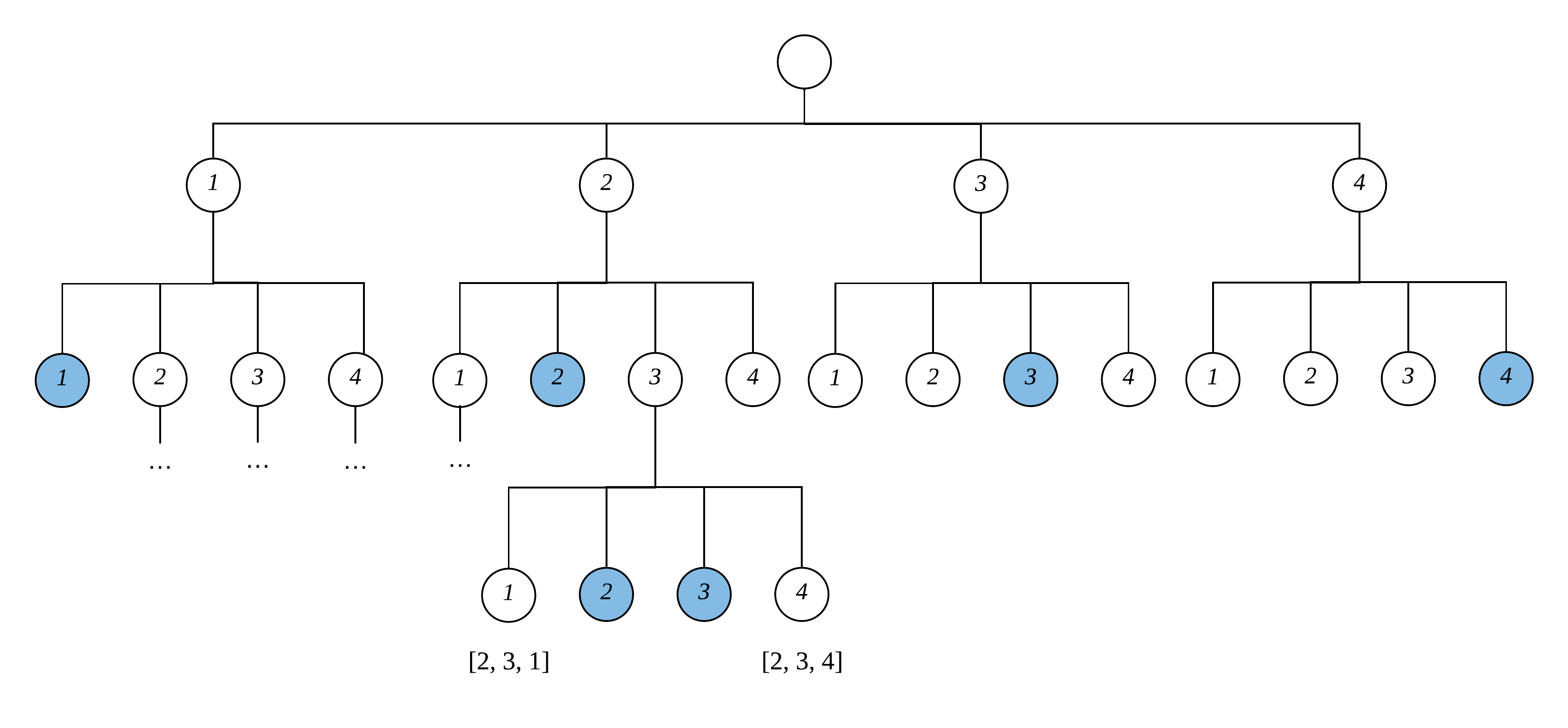
위의 재귀함수 호출을 트리 형태로 표현하면 다음과 같습니다. 색칠된 부분은 isUsed 조건문에 의해 호출되지 않았음을 의미합니다.

추가적으로 tmp에 포함된 원소는 이미 사용되었다는 것을 이해했다면 isUsed를 제거할 수 있습니다. (단, Set을 이용한 구현법이 조금 더 빠릅니다.)
function getPermutation(
arr : number[],
r : number,
tmp : number[] = [], // 순열 중 하나를 임시로 저장할 배열
ans : number[][] = [], // 순열이 저장될 배열
) {
// 순열 중 하나가 완성된 경우.
if( tmp.length === r ) {
ans.push(tmp);
return ans;
}
// 사용되지 않은 요소 중 하나를 사용한다.
for(let i=0; i<arr.length; i++) {
if(temp.includes(i)) continue;
tmp.push(arr[i]);
getPermutation(arr, r, tmp, ans, isUsed);
tmp.pop();
}
return ans;
}
//
// [1, 2, 3, 4] 에서 3개를 선택.
const permutation = getPermutation([1, 2, 3, 4], 3);
조합 (Combination)
정의
직관적으로 설명하자면 순서가 중요하지 않은 순열입니다. 예를 들어, 아래의 배열들은 순열로 바라봤을 때는 Not Equal이지만, 조합으로 봤을 때는 Equal입니다.
[1, 2, 3]
[1, 3, 2]
[2, 1, 3]
[2, 3, 1]
[3, 1, 2]
[3, 2, 1]
따라서 [1, 2, 3, 4]에서 3개를 선택하는 조합은 다음과 같이 4개밖에 없습니다.
[
[1, 2, 3],
[1, 2, 4],
[1, 3, 4],
[2, 3, 4],
]
위에서 보았듯이, 조합에서는 순서가 그다지 중요하지 않습니다. 위의 결과에서 [1, 2, 3]대신에 [2, 1, 3], [1, 3, 2]와 같이 다른 것을 사용해도 의미는 달라지지 않습니다. 하지만 계산상의 편의를 위해 오름차순으로 정렬된 것을 선택하겠습니다. 이것을 정규화라고 합니다.
구현
간단한 방법
순열과 마찬가지로 for반복문을 $r$번 반복하여 구현할 수 있습니다. [1, 2, 3, 4]에서 3개를 선택하는 조합을 계산해보겠습니다.
const arr : number[] = [1, 2, 3, 4]
const ans : number[][] = []; // 조합이 저장될 배열
for(let i=0; i<arr.length; i++){
for(let j=i+1; j<arr.length; j++){
for(let k=j+1; k<arr.length; k++) {
ans.push([ arr[i], arr[j], arr[k] ]);
}
}
}
순열과 다른 점은 j = i + 1 , k = j + 1로 초기화되는 것입니다. 우리는 조합의 결과를 오름차순으로 강제했으므로 [i=0, j=2, k=1]과 같은 경우를 방지하기 위해, 직전 반복문에서 사용한 다음 요소부터 사용해야 합니다.
재귀로 구현
순열과 마찬가지로 재귀를 사용하여 $r$이 큰 경우에도 유연하게 대처할 수 있습니다. 순열과 다른점은, 우리가 설정한 강제사항으로 인해 매 인덱스는 오름차순으로 정렬되어 있어야 하므로, 마지막에 선택한 인덱스보다 낮은 인덱스를 사용할 수 없다는 것 입니다. 따라서 isUsed는 필요하지 않습니다.
function getCombination(
arr : number[],
r : number,
tmp : number[] = [], // 조합 중 하나를 임시로 저장할 배열
ans : number[][] = [], // 조합이 저장될 배열
) {
// 조합 중 하나가 완성된 경우.
if( tmp.length === r ) {
ans.push(tmp);
return ans;
}
// 마지막으로 사용한 요소의 다음 것 부터 사용한다.
const lastIndex = tmp.length === 0 ? -1 : tmp[tmp.length-1];
for(let i=lastIndex+1; i<arr.length; i++) {
tmp.push(arr[i]);
getCombination(arr, r, tmp, ans);
tmp.pop();
}
return ans;
}
//
// [1, 2, 3, 4] 에서 3개를 선택.
const combination = getCombination([1, 2, 3, 4], 3);
비트셋 응용 구현
$n$개의 아이템을 갖는 배열을 생각해보겠습니다.
const items = ["사과", "포도", "파인애플"];
각 아이템의 존재유무는 1 또는 0으로 표현될 수 있으므로, 결론적으로 $n$개의 비트를 사용하면 하나의 상태를 표현할 수 있습니다. items[i]의 존재유무를 가르키는 비트는 1<<i이라고 표현하면, 아래의 값은 사과와 포도가 존재하는 경우로 해석할 수 있습니다.
const state = 0b011;
// 사과가 가르키는 비트는 `1<<0 (0b001)`.
// 포도가 가르키는 비트는 `1<<1 (0b010)`.
// 파인이 가르키는 비트는 `1<<2 (0b100)`.
유심히 살펴보면, 이것은 조합과 동일하다는 것을 알 수 있습니다. 예를 들어 [1, 2, 3, 4]에서 3개를 선택하는 경우, 아래와 같이 4개의 비트셋과 연관됩니다. (여기서는 편의를 위해 맨 왼쪽 아이템이, 맨 왼쪽 비트에 대응된다고 생각하겠습니다.)
[
0b1110, // 14, -> [1, 2, 3]
0b1101, // 13, -> [1, 2, 4]
0b1011, // 11, -> [1, 3, 4]
0b0111, // 7, -> [2, 3, 4]
]
이제 눈치채셨겠지만 [$0$, $2^n$)를 순회하면서 비트셋을 해석하면, 가능한 모든 $r$에 대한 조합들을 얻어낼 수 있습니다. (단, $r$에 대해 정렬되어 있지는 않습니다.)
1 -> 0b0001 -> [ 1 ]
2 -> 0b0010 -> [ 2 ]
3 -> 0b0011 -> [ 1, 2 ]
4 -> 0b0100 -> [ 3 ]
이러한 아이디어를 구현하면 다음과 같습니다.
function getCombination(arr : number[]) {
const ans : number[][] = [];
for(let bitset=0; bitset<2**arr.length; bitset++){
const current : number[] = [];
for(let idx=0; idx<arr.length; idx++) {
if(bitset & (1 << idx)) current.push(arr[idx]);
}
ans.push(current);
}
//
// 필요하다면 r에 대해 정렬합니다.
// 여기서는 생략합니다.
return ans;
}
//
// [1, 2, 3, 4] 에서 가능한 모든 조합의 경우를 계산.
const combination = getCombination([1, 2, 3, 4]);
중복된 선택이 허용된 순열과 조합
정의
몇몇 경우에는 중복이 허용될 수 있습니다. 오지선다같은 경우가 대표적이죠. [1, 2, 3, 4, 5] 중에서 하나를 선택하는 것을 $r$번 반복한다 생각하면 편합니다.
순열
아이러니하지만 중복된 선택이 가능해짐으로써, 구현 난이도가 크게 내려갑니다. 중복된 선택을 하지 못하게끔 isUsed와 같은 것을 도입하고 있었는데, 그럴 필요가 없어졌기 때문입니다.
const arr : number[] = [1, 2, 3, 4]
const ans : number[][] = []; // 순열이 저장될 배열
for(let i=0; i<arr.length; i++){
for(let j=0; j<arr.length; j++){
for(let k=0; k<arr.length; k++) {
// 이제 중복을 배제 할 필요가 없다.
// if( i === j || j === k || k === i ) continue;
const current = [ arr[i], arr[j], arr[k] ];
ans.push(current);
}
}
}
조합
조합도 중복된 선택을 할 수 있지만, 오름차순 제약이 사라진 것이 아닙니다. 중복선택을 허용하면서 오름차순으로 정렬하는 경우는 다음과 같습니다. ($r = 5$)
[1, 1, 1, 2, 2]
[1, 1, 1, 2, 3]
[1, 2, 2, 4, 4]
...
즉, 마지막으로 선택된 것을 다시 사용할 수 있다 정도로 해석할 수 있습니다.
const arr : number[] = [1, 2, 3, 4]
const ans : number[][] = []; // 조합이 저장될 배열
for(let i=0; i<arr.length; i++){
for(let j=i+0; j<arr.length; j++){
for(let k=j+0; k<arr.length; k++) {
ans.push([ arr[i], arr[j], arr[k] ]);
}
}
}
기존에는 j = i + 1 , k = j + 1로 초기화되었지만, 마지막으로 선택된 요소를 다시 선택할 수 있도록 j = i + 0 , k = j + 0으로 초기화하면 됩니다.
중복된 요소가 허용된 순열과 조합
정의
반면에, [1, 1, 2, 3, 3]처럼 배열의 모든 것이 유니크하게 주어지지 않을 수 있습니다. 값을 기반으로 계산했다면 코드를 뜯어고쳐야 하겠지만, 지금까지 우리는 인덱스를 기반으로 계산했기 때문에, 이것에 대해서는 크게 걱정하지 않아도 괜찮습니다.
그러나 중복 선택과 중복 요소가 동시에 허용된 경우에는 조금 생각해봐야 합니다. 예를 들어, [1, 1, 1]에서 중복선택이 허용된 수열을 구해보겠습니다. 알고리즘의 관점에서는 [a, b, c]로 간주되기 때문에, 아래처럼 서로다른 방법으로 배치되겠지만, 결과적으로 보면 [1, 1, 1] 하나밖에 없습니다.
[a, b, c] -> [1, 1, 1]
[a, c, b] -> [1, 1, 1]
[b, a, c] -> [1, 1, 1]
[b, c, a] -> [1, 1, 1]
[c, a, b] -> [1, 1, 1]
[c, b, a] -> [1, 1, 1]
구현
즉, 중복된 결과를 걸러내는 것이 추가로 요구됩니다. 가장 보편적인 방법은, 하나의 임시결과가 만들어질 때 마다, 그것을 문자열로 변환하고 Set에 들어있는지 확인하면 됩니다.
const ans : number[][] = [];
const set : Set<string> = new Set<string>();
for(...){
// 이번에 만들어진 순열 또는 조합
const current : number[] = [...];
// 해당 순열 또는 조합을 문자열로 변환한다.
// ex) "1,2,3,", "2,3,4,"
let key : string = "";
for(let i=0; i<current.length; i++){
key += (i + ",");
}
//
// 이전에 본적이 있다면 건너뛴다.
if(!set.has(key)) {
set.add(key);
ans.push(current);
}
}
백준 연습문제
순열과 조합이 N과 M이라는 항목으로 분류되어 있습니다.
'# Foundation > 알고리즘' 카테고리의 다른 글
| [코딩테스트 대비] 트라이(Trie) 자료구조 (0) | 2020.09.16 |
|---|---|
| C++ Permutation 함수 (0) | 2019.10.20 |
| C++ Combination 함수 (0) | 2019.10.20 |
| 비트셋으로 집합 표현하기 (Bitset) (0) | 2019.10.20 |
| 그래프 이론 (1) (0) | 2019.07.23 |